概述:干細胞能否改善衰老衰弱患者癥狀?盤點干細胞治療衰老衰弱患者的臨床案例。近日,上海東方醫院在國際期刊雜志干細胞研究與治療中發表了一篇“臍帶組織間充質干細胞治療衰老衰弱患者的安全性和有效性:I/II 期隨機、雙盲、安慰劑對照研究”的文獻綜述,臨床結果表明靜脈移植人臍帶間充質干細胞是一種安全有效的治療衰老衰弱的方法。
干細胞能否改善衰老患者癥狀?盤點干細胞治療衰老衰弱患者的臨床案例
在改善生活質量、身體機能和減少慢性炎癥方面觀察到的積極結果表明,人臍帶間充質干細胞療法可能是治療衰老衰弱的一種有前途的潛在治療選擇[1]。

什么是衰老衰弱,干細胞療法如何改善衰老衰弱?
衰老衰弱是一種由多種因素和原因引起的臨床老年綜合癥,隨著多個系統功能的累積衰退和生理儲備的逐漸喪失而發展,導致對壓力的脆弱性增加。虛弱使老年人面臨出現不良健康結果的高風險,包括跌倒、殘疾、住院甚至死亡。衰老衰弱現象非常普遍,全球65歲及以上社區居住參與者的患病率估計為10.7%。在人口老齡化的背景下,老年人的衰弱現象更加突出,因其相關的經濟和社會負擔,已成為全球公共衛生挑戰。
因此,管理衰老衰弱的策略具有重要意義。
目前,指南強烈建議體弱老年人應進行體育鍛煉并停用不適當的藥物。該指南還有條件地建議補充足夠的蛋白質和維生素D。然而,由于缺乏精心設計的大樣本臨床研究,制定指南的證據相對有限。此外,這些治療衰弱的干預措施的有效性存在爭議,并且迄今為止還沒有批準的治療衰弱的藥物療法。
虛弱的人可能會出現虛弱的表型,包括無意中體重減輕;自述疲憊不堪,行走速度緩慢;握力低,身體機能下降。據推測,內源性干細胞的再生和分化能力可能會隨著年齡的增長而下降,其特點是由于內源性干細胞的耗竭和耗竭而導致個體內穩態減弱和器官功能降低。

因此,干細胞療法在衰弱治療中具有廣闊的前景。人臍帶間充質干細胞(HUC-MSC)是存在于臍帶組織中的基質細胞群。人臍帶間充質干細胞具有干細胞的生物學特性,具有自我更新和多能性。與骨骼、脂肪等來源相比,人臍帶間充質干細胞來源容易,免疫原性低,不存在倫理問題,在再生醫學領域具有顯著的優勢。由于MSCs的營養、免疫調節和抗炎作用,人臍帶間充質干細胞的臨床應用非常廣泛。
迄今為止,大量研究已經說明了人臍帶間充質干細胞對許多疾病的治療益處,包括慢性移植物抗宿主病、心力衰竭、1型糖尿病,證明靜脈注射人臍帶間充質干細胞安全有效。基于現有證據,我們在患有老年衰弱的老年人中進行了隨機、雙盲、安慰劑對照研究,旨在評估人臍帶間充質干細胞移植治療老年衰弱的有效性和安全性。
方法
在這項隨機、雙盲、安慰劑對照試驗中,診斷患有衰老衰弱的參與者被隨機分配接受靜脈注射HUC-MSC 或安慰劑。在6個月的隨訪期間,對所有嚴重不良事件 (SAE) 和AE進行監測,以評估治療的安全性。
主要療效終點是6個月時SF-36生活質量的身體成分評分 (PCS) 的變化。每次隨訪時還觀察和比較了次要結果,包括身體機能測試和促炎細胞因子。所有評估均在首次靜脈輸注HUC-MSC后1周、1、2、3和6個月時進行(圖1)。

結果
研究人群
2020年6月至2022年1月,上海東方醫院連續篩選了110名參與者,根據納入和排除標準排除了80名患者。最后,30名患者以1:1的比例隨機分配接受HUC-MCS或匹配的安慰劑(圖2)。

在參加該研究的30名參與者中,有24名參與者(間充質干細胞組12/15,安慰劑組12/15)在第2個月接受評估,25名參與者(間充質干細胞組12/15,安慰劑組13/15)接受評估。第3個月有27名參與者(間充質干細胞組12/15,安慰劑組15/15)在第6個月。間充質干細胞組中的一名患者失訪,他在第一次治療后2個月撤回同意。該試驗的依從性非常好,預定的180次就診中只有14次 (7.77%) 錯過了。
MSC組和安慰劑組參與者的平均年齡分別為67.27±5.23歲和69.27±5.02歲。在基線時,兩組在人口統計學和臨床??特征(包括慢性病、藥物、實驗室檢查、身體表現)方面沒有顯著差異。參與者的基線人口統計特征如表1所示。
| 特征 | 間充質干細胞組(N=15) | 安慰劑組 (N=15) |
| 年齡(歲) | 67.27±5.23 | 69.27±5.02 |
| 性別 (n, %) | ||
| 男性 | 5 (33.33) | 7 (46.67) |
| 女性 | 10 (66.67) | 8 (53.33) |
| 體重指數(公斤/米2) | 24.03±2.89 | 24.95±3.67 |
| Fried衰弱表型量表 | 2 (2, 2) | 2 (2, 3) |
| 慢性病 | ||
| 高血壓(%) | 4 (26.67) | 7(46.67) |
| 血脂異常(%) | 4(46.67) | 1(6.67) |
| 2 型糖尿病 (%) | 3(20) | 5(33.33) |
| 缺血性心肌病(%) | 2(13.33) | 2(13.33) |
| 藥物 | ||
| 阿司匹林 (%) | 2(13.33) | 1(6.67) |
| ACEI/ARB (%) | 2(13.33) | 4 (26.67) |
| 鈣拮抗劑(%) | 2(13.33) | 1(6.67) |
| 二甲雙胍(%) | 1(6.67) | 2(13.33) |
| 其他口服降糖藥(%) | 2(13.33) | 3(20) |
| 胰島素(%) | 2(13.33) | 2(13.33) |
| 污點(%) | 5(33.33) | 1(6.67) |
| 實驗室 | ||
| 血紅蛋白(克/升) | 135.80±7.72 | 132.47±13.71 |
| 白細胞計數(10 9 /L) | 5.89±1.37 | 5.69±1.45 |
| 血小板計數(10 9 /L) | 203.2±42.75 | 206.4±73.50 |
| 谷草轉氨酶(上/下) | 23.07±14.26 | 23.73±8.68 |
| 丙氨酸 (上/下) | 22.73±18.18 | 21.00 ± 12.62 |
| GFR(mL/min 每 1.73 m 2) | 70.73±13.98 | 75.93±16.35 |
| 光纖光柵 (毫摩爾/升) | 5.94±1.41 | 5.89±1.26 |
安全
本研究隨訪6個月期間未觀察到嚴重不良事件,兩組不良事件發生率無差異,安慰劑組有2名(13.33%)參與者發生不良事件(其中1名出現黑痛) ,1名出現下肢水腫),MSC組有1名(6.77%)參與者(1名出現頭暈)。
所有不良事件都是短暫的,被認為與治療無關。沒有患者因不良事件退出本研究。兩組在所有時間點的實驗室檢查結果和生命體征均沒有臨床上的重要差異。不良事件總結見表2。
| 不良事件(n,%) | 間充質干細胞 (n=15) | 安慰劑 (n=15) | p | 與治療相關 |
| 背疼 | 0 (0) | 1 (6.67) | NS | 不 |
| 頭暈 | 1 (6.77) | 0 (0) | NS | 不 |
| 下肢水腫 | 0 (0) | 1 (6.67) | NS | 不 |
臨床結果
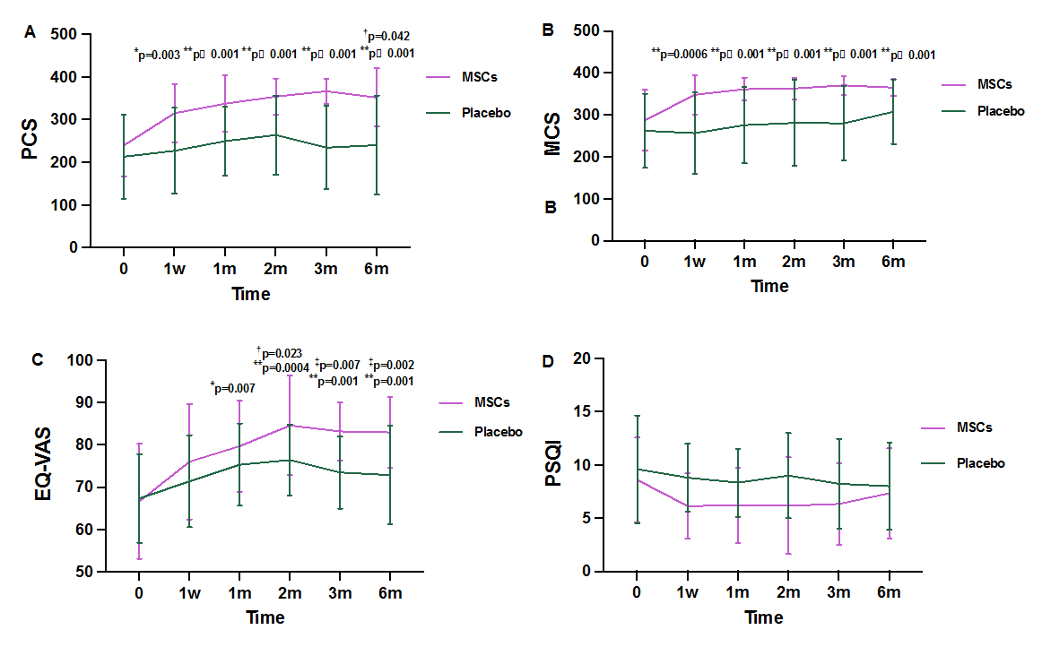
在整個研究過程中對生活質量進行了評估,如表3所示。主要終點是SF-36的PCS變化。與基線相比,MSCs組的PCS變化在隨訪1周時開始有所改善(+75.53±23.02;p=0.003),并持續到1個月(+97.27±23.02;p<0.001)直至6個月(+96.41±24.70,p<0.001)。MSCs組的PCS從基線到第6個月的變化顯著大于安慰劑組 (p=0.042) (圖3A)。MSCs組內SF-36的MCS有所增強,從基線時的287.81±72.44顯著增加至6個月時的365.29±19.81 (p=0.0001),但MSCs組之間沒有統計學上的顯著差異和安慰劑組(圖3B)。EQ-VAS是個人感知生活質量的指標。

在這項研究中,與安慰劑組相比,間充質干細胞組在2個月的隨訪中表現出EQ-VAS評分的提高 (p=0.023),并且這種改善持續到訪視結束。在6個月的隨訪中注意到EQ-VAS的最實質性改善(p=0.002)。在MSCs組中,EQ-VAS評分與基線相比顯著改善,從1個月時的組平均值79.67±10.77(p=0.007)提高到6個月末時的82.92±8.38(p=0.001)。然而,安慰劑組在6個月內顯示這些變量沒有差異(圖3C)。此外,我們發現兩組之間PSQI的變化沒有差異(圖3D)。
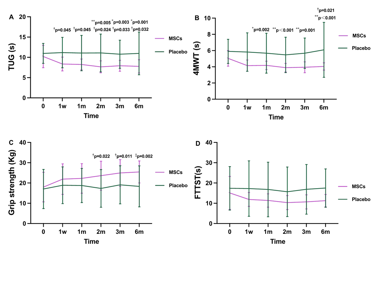
為了比較兩組患者的功能狀態,我們在隨訪第1周、第1、2、3和6個月繼續進行體能測試,包括TUG、4MWT、握力和FTSST。值得注意的是,與安慰劑組相比,注射HUC-MSC的患者從初次就診到所有隨訪點均觀察到更大的TUG改善(p<0.05)(圖4A)。

HUC-MSC組在6個月時的4MWT表現有顯著改善(p=0.021)(圖4B)。通過多次隨訪時的握力測量,接受HUC-MSC治療的患者的身體機能得到了增強,最顯著的握力增加發生在隨訪6個月時(p=0.002)(圖4C)。然而,在任何隨訪點之前、期間和結束時,未發現測試參與者的FTSST存在統計學上的顯著差異。兩組患者的體能表現總結于表3。
據報道,炎癥細胞因子的表達與老年人的虛弱有關。本研究連續測定兩組血清細胞因子(TNF-a、INF-g、IL-8、IL-17)水平6次,結果見表3。值得注意的是,與與對照組相比,在第6個月接受HUC-MSC輸注的患者中觀察到TNF-a濃度下降 (p=0.034)。與TNF-a變化的減少一致,MSC治療組的IL-17水平在第6個月時與安慰劑組相比顯著降低(p=0.033)。然而,HUC-MSC 在任何訪問時間點都沒有顯著降低IL-8和IFN-γ 的水平(圖5)。

| 變量 | 團體 | 基線 | 1周 | 1個月 | 2個月 | 3個月 | 6個月 |
| PCS | 間充質干細胞 | 239.87±72.15 * | 315.40±68.25 ** | 337.13±66.44 ** | 353.75±42.81 ** | 293.00±153.86 ** | 351.83±68.35 ** ,? |
| 安慰劑 | 213.27±98.27 | 227.07±100.10 | 249.87±81.22 | 263.92±92.71 | 234.46±98.05 | 240.27±116.08 | |
| MCS | 間充質干細胞 | 287.81±72.44 ** | 348.27±47.09 ** | 361.65±27.76 ** | 363.11±25.62** | 296.33±154.75 ** | 365.29±19.81 ** |
| 安慰劑 | 262.18±88.17 | 256.76±97.73 | 275.46±91.12 | 281.18±102.73 | 280.32±88.34 | 307.53±77.12 | |
| EQ-增值服務 | 間充質干細胞 | 66.67±13.58 | 76.0±13.65 | 79.67 ± 10.77 * | 84.58 ± 11.76 **, ? | 83.17 ± 6.83 ** , ? | 82.92 ± 8.38 ** , ? |
| 安慰劑 | 67.33±10.50 | 71.4±10.86 | 75.33±9.72 | 76.42±8.39 | 73.46±8.51 | 72.87±11.70 | |
| PS質量指數 | 間充質干細胞 | 8.60±3.99 | 6.13±3.07 | 6.20±3.55 | 6.17±4.55 | 6.33±3.85 | 7.33±4.23 |
| 安慰劑 | 9.60±5.05 | 8.80±3.17 | 8.33±3.20 | 9.0±4.0 | 8.23±4.23 | 8.0±4.11 | |
| TUG(s) | 間充質干細胞 | 10.20±2.75 | 8.36 ± 1.70 ? | 8.25 ± 1.34 ? | 7.66 ± 1.46 **, ? | 7.92 ± 1.35 * ,? | 7.78 ± 1.63 * ,? |
| 安慰劑 | 10.98±2.46 | 11.17±3.75 | 11.05±4.36 | 11.08±4.66 | 10.77±3.46 | 10.97±5.27 | |
| 4MWT | 間充質干細胞 | 5.04±0.96 | 4.15±0.69 | 4.18±0.52 * | 3.89±0.53 ** | 3.94±0.67 ** | 4.04 ± 0.45 ** ,? |
| 安慰劑 | 5.90±1.49 | 5.82±2.37 | 5.68±2.46 | 5.47±2.18 | 5.68±1.87 | 6.09±3.39 | |
| 握力(公斤) | 間充質干細胞 | 17.99±7.31 | 21.92±7.54 | 22.27±7.29 | 23.63 ± 7.13 ? | 24.96 ± 6.56? | 25.44 ± 5.44 ? |
| 安慰劑 | 17.04±9.65 | 18.89±9.06 | 18.76±8.41 | 17.33±9.28 | 19.08±9.38 | 18.33±10.11 | |
| FTTST | 間充質干細胞 | 15.10±8.13 | 11.89±3.41 | 11.37±3.28 | 10.33±3.45 | 10.69±3.47 | 11.27±3.07 |
| 安慰劑 | 17.37±10.71 | 17.25±13.67 | 16.81±13.45 | 15.68±12.22 | 16.87±12.26 | 17.50±9.44 | |
| IL-8(皮克/毫升) | 間充質干細胞 | 14.30±4.52 | 12.72±3.14 | 11.40±4.57 | 14.27±7.51 | 9.59±6.06 | 10.21±3.32 |
| 安慰劑 | 21.29±14.62 | 15.70±6.28 | 15.29±5.38 | 20.28±20.63 | 13.43±4.72 | 13.14±6.33 | |
| IL-17(pg/mL) | 間充質干細胞 | 19.25±27.76 | 12.70±2.63 | 14.69±6.11 | 21.82±14.60 | 17.22±10.06 | 18.50 ± 22.70 ? |
| 安慰劑 | 11.78±3.36 | 13.79±3.86 | 17.66±19.41 | 19.05±6.70 | 14.50±4.35 | 32.76±42.96 | |
| 干擾素-γ(pg/mL) | 間充質干細胞 | 2.70±0.40 | 3.00±0.34 | 2.63±0.22 | 3.10±0.54 | 3.17±0.73 | 2.79±0.50 |
| 安慰劑 | 2.60±0.22 | 3.00±0.38 | 2.64±0.27 | 3.19±0.46 | 3.04±0.64 | 3.12±0.58 | |
| 腫瘤壞死因子α(pg/m) | 間充質干細胞 | 2.53±0.10 | 2.59±0.14 | 2.51±0.04 | 2.68±0.22 | 2.76±0.39 | 2.61 ± 0.25 ? |
| 安慰劑 | 2.53±0.08 | 2.68±0.20 | 2.51±0.03 | 2.73±0.42 | 2.60±0.25 | 3.13±1.22 | |
PCS:物理成分分數;MCS:心理綜合評分;EQ-VAS:EuroQol視覺模擬量表;PSQI:匹茲堡睡眠質量指數;
TUG:定時啟動測試;4MWT:四米步行測試;FTTST:五次坐站測試;IL-8:白細胞介素-8;IL-17:白介素-17;
INF-g:干擾素-γ;TNF-a:腫瘤壞死因子-α。
討論
這項研究是第一個在體弱老年人中靜脈注射人臍帶間充質干細胞的隨機、雙盲、安慰劑對照臨床試驗。為了調查同種異體人臍帶間充質干細胞移植治療衰老衰弱的有效性和安全性,我們的研究揭示了與預定主要終點相關的發現。多項隨機對照臨床試驗的數據證明,人臍帶間充質干細胞在治療衰老相關慢性疾病方面是安全可行的。與之前的試驗數量一致,靜脈注射同種異體人臍帶間充質干細胞并未導致任何嚴重的不良事件或并發癥,表明這種新型治療方法的安全性。此外,本研究中的人臍帶間充質干細胞治療在衰老體弱個體中沒有誘導不良免疫反應,表明基于人臍帶間充質干細胞的治療具有良好的耐受性和可行性。
關于定義為SF-36生活質量的身體組成部分的主要終點,我們的數據顯示接受MSC治療的組內SF-36的PCS評分顯著改善。這種改善從間充質干細胞移植后一周開始觀察到,一直持續到最后的隨訪評估。此外,人臍帶間充質干細胞的施用僅在2、3和6個月的隨訪間隔內導致EQ-VAS顯著改善。此外,在6個月的隨訪期間,MSC組中SF-36生活質量的心理部分表現出顯著提高。相比之下,通過任何隨訪時間點的PSQI評估,兩組之間的睡眠質量沒有差異。
這項研究的結果表明,人臍帶間充質干細胞療法在生活質量和功能表現方面產生了臨床顯著改善。這些發現與之前研究間充質干細胞治療衰老衰弱的治療潛力的臨床試驗一致。
在這項研究中,靜脈注射間充質干細胞被認為對體弱的老年人有益。我們觀察到施用HUC-MSC后身體機能有了顯著改善。在握力方面,與對照組相比,MSCs組在2、3和6個月的隨訪中表現出更大的增強,這表明上臂的肌肉力量有所增強。此外,在每次治療后就診期間,接受HUC-MSC治療的患者在評估活動能力和平衡能力的TUG測試中表現有所改善,表現出持續改善。這一發現表明間充質干細胞組的身體功能全面增強。
值得注意的是,結果表明,與安慰劑組相比,MSC組在6個月的隨訪中4MWT表現有所提高。衰老衰弱是一種與衰老相關的疾病,伴隨著身體能力的下降并對生活質量產生負面影響,本試驗的結果可能凸顯HUC-MSC在改善衰老衰弱相關的身體衰退方面的作用。
在本研究中,我們還觀察到間充質干細胞治療可導致6個月隨訪時TNF-α和IL-17水平下降。然而,MSCs組和安慰劑組之間的IL-8和IFN-γ水平沒有顯著差異。對我們的發現的一些解釋值得考慮。MSC治療后TNF-α和IL-17水平的降低證實了人臍帶間充質干細胞的抗炎和免疫調節特性。據多項研究報道, MSC已被證明通過抑制促炎細胞因子的產生而具有抗炎作用,從而進一步減輕各種退行性和炎癥性疾病,包括衰老衰弱。
MSC已被證明具有再生和分化特性,有助于組織修復過程。我們在這項研究中的數據表明,人臍帶間充質干細胞可能通過增強身體機能和抑制慢性炎癥來發揮其有益作用。我們的研究還表明,間充質干細胞治療衰老衰弱可提高生活質量。除了抗炎作用外,間充質干細胞還可以促進組織再生、肌肉力量以及整體身體功能。人臍帶間充質干細胞給藥后身體機能和生活質量改善的潛在機制可能部分歸因于MSC的再生能力。MSC療法的治療益處可能源自MSC的旁分泌作用,例如負責調節細胞微環境、促進組織修復和再生的生長因子和細胞因子的分泌。
值得注意的是,本研究有一定的局限性。相對較短的隨訪時間和研究人群的具體特征可能會影響免疫和炎癥反應。此外,我們研究中的樣本量可能限制了我們檢測微小差異的能力,特別是在免疫參數方面。未來需要更大樣本量和更長隨訪時間的研究來證實和進一步探索間充質干細胞治療衰老衰弱的抗炎和免疫調節作用。
結論
總之,這項隨機對照臨床試驗提供了支持人臍帶間充質干細胞治療衰老衰弱的安全性和可行性的證據。TNF-α和IL-17的顯著下降,觀察到的生活質量和身體機能(包括TUG測試、握力和4MWT)的改善,凸顯了人臍帶間充質干細胞作為干預和預防疾病的治療選擇的潛力。
參考資料:
- Fried LP, Tangen CM, Walston J, Newman AB, Hirsch C, Gottdiener J, et al. Frailty in older adults: evidence for a phenotype. J Gerontol A Biol Sci Med Sci. 2001;56(3):M146-56.
- Clegg A, Young J, Iliffe S, Rikkert MO, Rockwood K. Frailty in elderly people. Lancet. 2013;381(9868):752-62.
- Hoogendijk EO, Afilalo J, Ensrud KE, Kowal P, Onder G, Fried LP. Frailty: implications for clinical practice and public health. Lancet. 2019;394(10206):1365-75.
- Collard RM, Boter H, Schoevers RA, Oude Voshaar RC. Prevalence of frailty in community-dwelling older persons: a systematic review. J Am Geriatr Soc. 2012;60(8):1487-92.
- Dent E, Martin FC, Bergman H, Woo J, Romero-Ortuno R, Walston JD. Management of frailty: opportunities, challenges, and future directions. Lancet. 2019;394(10206):1376-86.
- Dent E, Lien C, Lim WS, Wong WC, Wong CH, Ng TP, et al. The Asia-Pacific Clinical Practice Guidelines for the Management of Frailty. J Am Med Dir Assoc. 2017;18(7):564-75.
- Van der Elst M, Schoenmakers B, Duppen D, Lambotte D, Fret B, Vaes B, et al. Interventions for frail community-dwelling older adults have no significant effect on adverse outcomes: a systematic review and meta-analysis. BMC Geriatr. 2018;18(1):249.
- Schulman IH, Balkan W, Hare JM. Mesenchymal Stem Cell Therapy for Aging Frailty. Front Nutr. 2018;5:108.
- Sun XL, Hao QK, Tang RJ, Xiao C, Ge ML, Dong BR. Frailty and Rejuvenation with Stem Cells: Therapeutic Opportunities and Clinical Challenges. Rejuvenation Res. 2019;22(6):484-97.
- Zhu Y, Ge J, Huang C, Liu H, Jiang H. Application of mesenchymal stem cell therapy for aging frailty: from mechanisms to therapeutics. Theranostics. 2021;11(12):5675-85.
- Selich A, Zimmermann K, Tenspolde M, Dittrich-Breiholz O, von Kaisenberg C, Schambach A, et al. Umbilical cord as a long-term source of activatable mesenchymal stromal cells for immunomodulation. Stem Cell Res Ther. 2019;10(1):285.
- Arutyunyan I, Elchaninov A, Makarov A, Fatkhudinov T. Umbilical Cord as Prospective Source for Mesenchymal Stem Cell-Based Therapy. Stem Cells Int. 2016;2016:6901286.
- Prockop DJ, Oh JY. Mesenchymal stem/stromal cells (MSCs): role as guardians of inflammation. Mol Ther. 2012;20(1):14-20.
- Uccelli A, Pistoia V, Moretta L. Mesenchymal stem cells: a new strategy for immunosuppression? Trends Immunol. 2007;28(5):219-26.
- Gao L, Zhang Y, Hu B, Liu J, Kong P, Lou S, et al. Phase II Multicenter, Randomized, Double-Blind Controlled Study of Efficacy and Safety of Umbilical Cord-Derived Mesenchymal Stromal Cells in the Prophylaxis of Chronic Graft-Versus-Host Disease After HLA-Haploidentical Stem-Cell Transplantation. J Clin Oncol. 2016;34(24):2843-50.
- Bartolucci J, Verdugo FJ, González PL, Larrea RE, Abarzua E, Goset C, et al. Safety and Efficacy of the Intravenous Infusion of Umbilical Cord Mesenchymal Stem Cells in Patients With Heart Failure: A Phase 1/2 Randomized Controlled Trial (RIMECARD Trial [Randomized Clinical Trial of Intravenous Infusion Umbilical Cord Mesenchymal Stem Cells on Cardiopathy]). Circ Res. 2017;121(10):1192-204.
- Cai J, Wu Z, Xu X, Liao L, Chen J, Huang L, et al. Umbilical Cord Mesenchymal Stromal Cell With Autologous Bone Marrow Cell Transplantation in Established Type 1 Diabetes: A Pilot Randomized Controlled Open-Label Clinical Study to Assess Safety and Impact on Insulin Secretion. Diabetes Care. 2016;39(1):149-57.
- Tompkins BA, DiFede DL, Khan A, Landin AM, Schulman IH, Pujol MV, et al. Allogeneic Mesenchymal Stem Cells Ameliorate Aging Frailty: A Phase II Randomized, Double-Blind, Placebo-Controlled Clinical Trial. J Gerontol A Biol Sci Med Sci. 2017;72(11):1513-22.
- Zang L, Li Y, Hao H, Liu J, Cheng Y, Li B, et al. Efficacy and safety of umbilical cord-derived mesenchymal stem cells in Chinese adults with type 2 diabetes: a single-center, double-blinded, randomized, placebo-controlled phase II trial. Stem Cell Res Ther. 2022;13(1):180.
- Xu X, Jiang W, Chen L, Xu Z, Zhang Q, Zhu M, et al. Evaluation of the safety and efficacy of using human menstrual blood-derived mesenchymal stromal cells in treating severe and critically ill COVID-19 patients: An exploratory clinical trial. Clin Transl Med. 2021;11(2):e297.
- Uccelli A, Laroni A, Ali R, Battaglia MA, Blinkenberg M, Brundin L, et al. Safety, tolerability, and activity of mesenchymal stem cells versus placebo in multiple sclerosis (MESEMS): a phase 2, randomised, double-blind crossover trial. Lancet Neurol. 2021;20(11):917-29.
- Golpanian S, DiFede DL, Khan A, Schulman IH, Landin AM, Tompkins BA, et al. Allogeneic Human Mesenchymal Stem Cell Infusions for Aging Frailty. J Gerontol A Biol Sci Med Sci. 2017;72(11):1505-12.
- Nelson AM, Coe CL, Juckett MB, Rumble ME, Rathouz PJ, Hematti P, et al. Sleep quality following hematopoietic stem cell transplantation: longitudinal trajectories and biobehavioral correlates. Bone Marrow Transplant. 2014;49(11):1405-11.
- Chen R, Fang P, Tan L, Li J, Yu L. Factors associated with sleep quality among nurse managers during regular prevention and control of the COVID-19 in China: a cross-sectional study. BMC Nurs. 2022;21(1):363.
- Shan H, Gao X, Zhang M, Huang M, Fang X, Chen H, et al. Injectable ROS-scavenging hydrogel with MSCs promoted the regeneration of damaged skeletal muscle. J Tissue Eng. 2021;12:20417314211031378.
- Podsiadlo D, Richardson S. The timed “Up & Go”: a test of basic functional mobility for frail elderly persons. J Am Geriatr Soc. 1991;39(2):142-8.
- Payne ME, Porter Starr KN, Orenduff M, Mulder HS, McDonald SR, Spira AP, et al. Quality of Life and Mental Health in Older Adults with Obesity and Frailty: Associations with a Weight Loss Intervention. J Nutr Health Aging. 2018;22(10):1259-65.
- Shi Y, Wang Y, Li Q, Liu K, Hou J, Shao C, et al. Immunoregulatory mechanisms of mesenchymal stem and stromal cells in inflammatory diseases. Nat Rev Nephrol. 2018;14(8):493-507.
- Strieter RM, Kasahara K, Allen RM, Standiford TJ, Rolfe MW, Becker FS, et al. Cytokine-induced neutrophil-derived interleukin-8. Am J Pathol. 1992;141(2):397-407.
- Mills KHG. IL-17 and IL-17-producing cells in protection versus pathology. Nat Rev Immunol. 2023;23(1):38-54.
- Pajarinen J, Lin TH, Nabeshima A, J?msen E, Lu L, Nathan K, et al. Mesenchymal stem cells in the aseptic loosening of total joint replacements. J Biomed Mater Res A. 2017;105(4):1195-207.
- Hwang NS, Zhang C, Hwang YS, Varghese S. Mesenchymal stem cell differentiation and roles in regenerative medicine. Wiley Interdiscip Rev Syst Biol Med. 2009;1(1):97-106.
- Hoang DM, Pham PT, Bach TQ, Ngo ATL, Nguyen QT, Phan TTK, et al. Stem cell-based therapy for human diseases. Signal Transduct Target Ther. 2022;7(1):272.
- Ashour RH, Saad MA, Sobh MA, Al-Husseiny F, Abouelkheir M, Awad A, et al. Comparative study of allogenic and xenogeneic mesenchymal stem cells on cisplatin-induced acute kidney injury in Sprague-Dawley rats. Stem Cell Res Ther. 2016;7(1):126.
免責說明:本文僅用于傳播科普知識,分享行業觀點,不構成任何臨床診斷建議!杭吉干細胞所發布的信息不能替代醫生或藥劑師的專業建議。如有版權等疑問,請隨時聯系我。
掃碼添加官方微信