慢性腎臟病 (CKD) 是一種全球性上升的非傳染性疾病,估計全球發病率為11%–13%,并且其進展性很重要,最終導致終末期腎病 (ESKD)。由于腎臟在電解質平衡、血壓控制、礦物質代謝和造血等多種身體穩態機制中發揮重要的局部作用,因此從早期到晚期CKD的整個疾病譜與顯著的發病率和死亡率相關。
在ESKD患者中開始腎臟替代治療和/或移植進一步給醫療保健系統帶來了巨大的負擔。這追求新的治療干預的想法,以延緩CKD進展為ESRD。近年來研究發現干細胞療法是廣泛研究治療慢性腎病的新療法之一。

干細胞移植技術在慢性腎病的臨床應用價值
慢性腎病的特征在于腎修復和部分或全部腎單位再生中的腎再生能力降低。
近年來,多能間充質干細胞(MSCs)因其在組織再生和修復中的新作用而引起了人們對干細胞的治療的極大興趣。包括糖尿病腎病和同種異體腎病在內的各種CKD模型揭示了MSCs保持腎臟結構和改善腎功能的能力。在MSCs中,脂肪組織來源的干細胞 (ADSCs) 比骨髓來源的MSCs (BDMSCs) 具有更好的抗炎和免疫調節作用。
此外,ADSCs比BDMCs更可行、產量更高且免疫原性更低。臨床研究發現在動物腎血管疾病中腎內給予ADSCs可改善腎功能。此外,其他研究也證明,腎內MSC輸送和血運重建改善了缺氧、炎癥、氧化應激和隨后的腎纖維化。相反,ADSCs已被證明可以降低缺血再灌注損傷 (IRI) 的嚴重程度,并通過抑制氧化應激和炎癥來預防腎纖維化。
盡管一些研究結果證實了MSC在這些CKD臨床前模型中的有益作用,但CKD模型、細胞類型和劑量、給藥途徑和不同腎臟結果參數的多樣性導致難以判斷和在臨床環境中進一步使用。很少有關于ADSC的安全性、劑量和治療潛力的臨床試驗,特別是在不同的CKD患者中。
2022年4月份,《Wiley Online Library》威利在線圖書館發表一篇關于干細胞治療慢性腎病的臨床研究報告,同種異體脂肪組織衍生干細胞ELIXCYTE?治療慢性腎病:一項評估安全性和臨床可行性的I期研究。該I期試驗表明,單劑量靜脈注射間充質干細胞在中度至重度CKD患者中具有良好的耐受性,其初步療效值得未來研究。

在這項I期臨床試驗中,我們使用了ELIXCYTE?,一種由低、中、高劑量的同種異體人體脂肪組織衍生干細胞 (ADSCs) 組成的研究產品,以評估具有各種潛在病因的CKD患者的安全性和副作用。
方法:這項于2018年4月至2019年10月在臺北醫科大學-雙和醫院進行的單中心、劑量遞增、開放標簽的I期臨床試驗共招募了12名成年CKD患者;每位受試者在參與研究前均簽署知情同意書。該研究在clinicaltrail.gov (NCT02933827) 上注冊,并得到臺北醫科大學-聯合機構審查委員會(N201710032) 的批準,符合赫爾辛基宣言的原則。
估計腎小球濾過率 (eGFR) 為15–44ml/min/1.73m2的12名符合條件的CKD患者接受一劑靜脈內異基因ADSC (ELIXCYTE? ),分為3組:3個低劑量(6.4×107個細胞)共8毫升),3中劑量(19.2×107細胞共24毫升)和高劑量(32.0×107細胞共40毫升)ELIXCYTE?并在48周后進行評估。
主要檢測指標:是不良事件 (AE) 和嚴重不良事件 (SAE) 發生率方面的安全性概況。
不良事件:高劑量組的兩名受試者在輸注后共經歷了2次與治療相關的AE,即1級言語緩慢和1級呼吸遲緩。中等劑量組中的一名受試者經歷了不太可能與治療相關的SAE,即2級蛋白尿。在這項研究中沒有報告致命的AE。
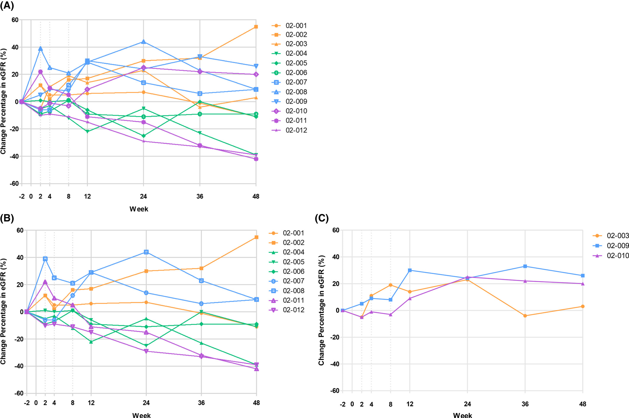
干細胞移植治療慢性腎病后腎小球濾過率的變化
至于初步療效數據,評估了估計腎小球濾過率從基線到第24周訪視的變化。圖2A顯示了所有接受治療的受試者在48周內與基線相比的eGFR變化。在第24周觀察到12名受試者中有7名 (58%) 和第48周時12名受試者中有6名 (50%) 的eGFR增加。第24周eGFR 增加的百分比超過20%基線eGFR≥30ml/min/1.73m2的受試者(圖2C)。相反,只有2名基線eGFR<30ml/min/1.73m2的受試者在24周時獲得了超過20的eGFR(圖2B)。然而,在所有受試者中都沒有注意到蛋白尿的顯著減少。

(B) 基線eGFR<30毫升/分鐘;
(C)基線eGFR≥30ml/min。
eGFR,估計的腎小球濾過率
討論:我們描述了ELIXCYTE?的I期臨床試驗,ELIXCYTE是一種同種異體人類脂肪組織衍生干細胞 (ADSCs),用于改善慢性腎病 (CKD) 患者的腎臟存活率。研究對象估計腎小球濾過率 (eGFR) 為 15–44 ml/min/1.73m2,通過腎臟疾病飲食修改評估。CKD的根本原因因人而異,一般可分為5種慢性間質性腎炎(CIN)、3種糖尿病和4種高血壓腎硬化。所有患者在參加研究之前和期間都服用了常規藥物,包括腎素-血管緊張素阻滯劑。
總的來說,我們所有的CKD患者對ELIXCYTE?的三種劑量方案耐受性良好。高劑量觀察到1次劑量限制性毒性(DLT),受試者在給藥后立即出現1級語速緩慢,第二天及之后情況均得到解決。
在這項研究中,ELIXCYTE的單劑量靜脈輸注劑量范圍為6.4×107至32.0×107ADSC細胞在中度至重度CKD患者中具有良好的耐受性。然而,三個劑量組之間eGFR變化的初步觀察沒有差異。
在第24周時,12名受試者中有7名 (58%) 和第48周時12名受試者中有6名 (50%) 觀察到eGFR增加。此外,在一周后,在幾名受試者中觀察到eGFR以某種方式穩定或下降。
因此,在未來的試驗中可以考慮是否需要第二次加強劑量的治療。在動物研究中,與單次給藥相比,每周給藥MSC可顯著改善殘腎功能。總而言之,給藥劑量和頻率可能是決定CKD患者ADSC治療期間腎功能改善的關鍵因素。
結論
臨床案例證明了同種異體脂肪間充質干細胞治療慢性腎病患者中的安全性和可行性。慢性腎病的潛在病因和分期、脂肪間充質干細胞的劑量和頻率以及合并癥是否會影響脂肪間充質干細胞在這些患者中的療效,仍有待未來更大規模的臨床試驗考慮。
參考資料:Allogeneic adipose tissue-derived stem cells ELIXCYTE? in chronic kidney disease: A phase I study assessing safety and clinical feasibility
Cai-Mei Zheng, I-Jen Chiu, Yu-Wei Chen, Yung-Ho Hsu, Lie-Yee Hung, Mei-Yi Wu, Yuh-Feng Lin, Chia-Te Liao, Yi-Pei Hung, Chia-Chu Tsai, Yih-Giun Cherng, Mai-Szu Wu
提示:本文內容來自網絡用戶投稿,僅供參考,不做為診斷依據,任何關于疾病的建議都不能替代執業醫師的面對面診斷。最終以醫生診斷為準,不代表本站同意其說法,請謹慎參閱,本站不承擔由此引起的任何法律責任。
掃碼添加官方微信