一、簡介
腦癱 (CP) 是一種致殘性臨床病癥,可導致兒童功能和發育障礙。盡管受影響嬰兒的醫療護理取得了相當大的進步,但近幾十年來,腦癱的總體發病率仍然沒有變化。這種臨床事件可能會限制兒童的日常功能能力并擾亂他們與健康相關的生活質量,如果臨床狀況惡化以及同時出現神經、心血管或呼吸系統并發癥等臨床并發癥,則會導致死亡。
此外,由于氧氣減少以及神經通路和神經元結構的供應進一步減少,這種殘疾可能會伴隨智力遲鈍。腦癱的根本治療是個體化的多學科治療。很大一部分身體殘疾可以通過康復治療得到改善。一些藥物還可以緩解癲癇發作和運動困難。在某些情況下,神經外科和骨科手術干預可能會有所幫助。然而,這些有針對性的干預措施都不能完全緩解腦癱癥狀或為受影響的兒童提供自然的生命健康。
缺氧的主要影響是腦癱兒童大腦發育遲緩,導致細胞因缺氧缺血性損傷而脆弱。因此,最近的努力集中在腦癱兒童的細胞恢復上。
在這方面,利用干細胞作為非特化細胞的母體,可轉化為特化細胞,目前備受關注。事實上,通過將干細胞分化為腦細胞、肌肉細胞或心臟細胞,可以加速減少腦癱兒童殘疾的進程。如今,目前關于如何使用干細胞進行治療的知識已經有所提高。事實上,現在有望開發出通過干細胞移植來改善受損細胞的方法,以治愈CP相關損傷。本綜述旨在評估與干細胞對腦癱患者有益作用相關的臨床試驗。

研究目的
這項薈萃分析的主要目的是通過粗大運動功能分類系統(GMFCS)量表評估干細胞治療對改善腦癱患者癥狀的功效。
文獻檢索方法
檢索關鍵詞為干細胞/腦癱/細胞治療/GMSCS量表,單獨或組合。然后篩選標題和摘要,排除所有不相關和重復的文章。僅對臨床試驗進行了詳細評估。最終的納入決定由兩位研究人員根據納入標準做出。這些審稿人分別提取了有關研究細節(研究設計、發表年份和患者人數)、患者特征、CP診斷細節及其危險因素的數據。
關注干細胞治療腦癱患者運動功能改善可能產生的影響的論文被視為納入標準。排除標準如下:數據不完整或僅有摘要可用的評論或觀察性文章和研究、以英語以外的任何語言撰寫的論文以及未發表的材料。
根據納入的關鍵詞初步審查的77項研究中,只有6項符合研究標準,最終被認為符合審查資格(圖1)。

結果
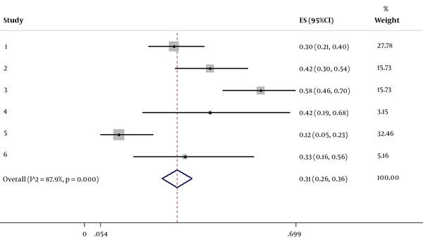
基于電子數據庫的審查總共產生了77篇手稿,討論通過考慮干細胞療法來改善GMFCS。只有六項試驗符合納入標準,評估了干細胞療法對保留腦癱患者癥狀的有益效果。研究選擇流程圖如圖1所示。研究參與者接受了1或6個月的隨訪。表1列出了6項合格研究的主要特征。
Chen等人進行了一項研究于2013年在中國對60名腦癱患者進行了研究,這些患者接受自體間充質干細胞(MSC)治療并隨訪12個月。根據研究結果,完成治療方案后3個月內GMFCS評分提高了42.6%,6個月內提高了58.6%。治療方案未報告不良事件。
王等人的研究2013年在中國,52名腦癱患者接受間充質干細胞治療后,運動評分改善了11.86%。
2013年Mancias-Guerra等人的研究中,18名墨西哥患者接受了干細胞鞘內注射。在該臨床試驗的第一階段中,對注射后患者的運動功能與治療前相比進行的評估顯示,GMFCS評分平均改善了35.35%。
2014年Zali等人的一項研究中,12名患有腦癱的伊朗兒童接受了鞘內注射CD133陽性富集骨髓祖細胞。經過6個月的觀察,與患者的基線GMFCS相比,結果顯示平均改善百分比約為44.4%。
| 作者 | 國家(年份) | 患者人數 | 細胞來源 | 移植途徑 | 后續行動 | GMFCS分數提高 (95%CI) | 重量, % |
|---|---|---|---|---|---|---|---|
| 陳等人 | 中國(2013) | 60 | 神經干細胞樣(NSC樣)細胞 | 鞘內 | 12 | 41.7 (30.06 – 54.27) | 15.73 |
| 陳等人 | 中國(2013) | 60 | 神經干細胞樣細胞 | 鞘內 | 12 | 58.3 (45.73 – 69.94) | 15.73 |
| 王等人 | 中國(2013) | 52 | 骨髓間充質基質細胞 | 鞘內和實質內 | 6 | 11.5 (5.40 – 22.97) | 32.46 |
| 曼西亞斯-格拉等人 | 墨西哥(2013) | 18 | 自體骨髓有核細胞 | 鞘內和靜脈注射 | 6 | 33.3 (16.28 – 56.25) | 5.16 |
| 扎利等人 | 伊朗 (2014) | 12 | 骨髓來源的 CD133 | 鞘內 | 6 | 41.7 (19.33 – 68.05) | 3.15 |
| 史洛夫等人 | 印度(2014) | 91 | 人類胚胎干細胞 | 肌注和靜脈注射 | 6 | 29.7 (21.26 – 39.72) | 27.78 |
Shroff 等人發表的另一項研究于2014年在印度對91名年齡在2至18歲的患者進行了四階段人類胚胎干細胞治療并隨訪1至2個月,評估了運動功能狀態的最終改善情況。在他們的研究中,在第一階段(包括91名患者)中,每天一次肌肉注射0.25mL人類胚胎干細胞 (hESC),加上每7天兩次靜脈注射1mLhESC,總共8周。在第2階段和第3階段(延長4周),藥物使用相同的劑量方案,但間隔期為3至6個月,分別包括66名和38名患者。
最后,在6至12個月的間隔期后完成了第4階段。該階段的給藥方案與2階段相似,但hESC的靜脈劑量增加了1mL。完成研究方案后,在研究期間,30.2%的參與者獲得了良好的運動功能,GMFCS評分為1。治療方案沒有出現不良并發癥。
GMFCS評分的匯總百分比變化具有統計學顯著性,有利于干細胞治療。由此產生的匯總估計表明,干細胞治療后1至6個月,GMFCS評分增加了30.7%(95%CI:25.80%至35.69%)。在這方面,異質性檢驗具有統計學意義(圖1)。
討論
回顧有效文獻顯示,關于干細胞療法改善腦癱療效的研究有限。
根據文獻檢索,僅進行了6項臨床試驗來評估CP患者運動功能狀態的變化,而大多數已發表的報告僅限于表明CP表現顯著改善的病例報告。這項研究試圖尋找干細胞治療有益效果的試驗,最終顯示在完成治療方案后1至6個月內,GMFCS評分改善高達41.1%。另一方面,不同方案的干細胞治療,包括自體間充質干細胞治療或人胚胎干細胞治療,可能會導致腦癱患者運動功能的增強。
然而,考慮到這些評估試驗。事實上,由于治療方案的差異以及治療階段之間不同的間隙期,研究發現運動功能的變化存在很大差異。因此,為了在干細胞治療腦癱患者后實現有效的綜合運動功能變化,應使用相同的方案進行進一步的試驗。然而,目前的臨床試驗和病例報告可以證明干細胞治療對腦癱患者運動功能的有益影響。
一些臨床前研究檢查了各種類型的干細胞,如間充質干細胞、雪旺細胞和神經前體細胞,最終表明這些干細胞在神經再生中具有很高的功能功效。在這方面,使用自體干細胞移植似乎可以改善腦癱患者殘疾的大部分臨床癥狀。研究表明,移植自體骨髓來源的單核細胞可以改善運動、感覺、認知和言語能力,并控制腸道和膀胱運動。
然而,干細胞對神經恢復影響的確切機制仍不清楚。一些生理過程被認為與該恢復過程有關。首先,間充質干細胞可以與神經宿主細胞顯著整合,建立突觸連接,恢復神經細胞功能。此外,MSC可以產生一些神經營養因子,促進受影響區域受損神經組織的恢復。事實上,不同類型的干細胞,例如間充質干細胞,可以分化成神經元和神經膠質譜系。
結論
有限的現有證據表明干細胞對腦癱患者運動功能恢復的治療作用。根據目前的薈萃分析,臨床試驗結果導致異質性結果的原因可能是使用不同類型的干細胞、不同的治療方案以及治療階段之間不同的間隙期。總的來說,已發表的實驗、臨床試驗和病例報告表明干細胞移植對改善腦癱患者運動功能的潛在作用。
參考資料:如何引用:?以運動功能改善為重點的腦癱干細胞治療綜述。拱門神經科學。2018;5(1):e59387。?https://doi.org/10.5812/archneurosci.59387。
免責說明:本文僅用于傳播科普知識,分享行業觀點,不構成任何臨床診斷建議!杭吉干細胞所發布的信息不能替代醫生或藥劑師的專業建議。如有版權等疑問,請隨時聯系我。
掃碼添加官方微信