前言:脊髓損傷是一種破壞性極強且難以治愈的神經系統疾病,目前傳統治療方法雖然在一定程度上能夠緩解癥狀并改善生活質量,但對于恢復受損神經功能的效果有限。隨著再生醫學領域的快速發展,特別是干細胞技術的進步,為脊髓損傷的治療開辟了新的途徑。本文將綜述2024年干細胞治療脊髓損傷領域的最新研究成果。
脊髓損傷(SCI)是一種嚴重的中樞神經系統創傷,常常導致患者運動、感覺功能喪失以及自主神經功能障礙,給患者的生活質量帶來極大的負面影響,同時也給社會和家庭帶來沉重的負擔。多見于車禍,跌倒和墜下,運動創傷、擠壓傷和槍傷。
- 詳情請瀏覽:脊髓損傷的癥狀和原因是什么?及其治療方法

目前,臨床上治療脊髓損傷的主要方式包括藥物(如大劑量類固醇激素沖擊)、手術、物理及康復訓練等。
但脊髓損傷后神經的自我修復能力有限,依靠藥物和外科手術的傳統治療方式多局限在病癥的緩解,療效難以令人滿意,無法從根本上解決問題。
因此科研人員將目光投向具有自我更新能力和多向分化潛能的干細胞。希望通過干細胞分化為神經元和膠質細胞,利用這一特性,研究人員試圖通過移植干細胞來替代或修復受損的脊髓組織,從而促進神經功能的恢復,為脊髓損傷患者帶來了新的希望。以下是2024年干細胞治療脊髓損傷的最新研究進展:
2024年干細胞治療脊髓損傷最新研究進展:邁向治愈的堅實一步
2024年1月25日,沙希德貝赫什提醫科大學在國際知名期刊《柳葉刀》上發表了一篇關于《間充質干細胞和雪旺細胞聯合治療脊髓損傷:一項為期9年的隊列研》的臨床研究成果,證明了干細胞治療脊髓損傷的長期療效。[1]

本次研究在2013年8月至2022年9月這9年時間里共有106名完全性脊髓損傷患者接受了研究干預,并在本研究中進行了隨訪。
- 在研究期間未發現與研究干預相關的不良事件。
- 12個月后,患者的ASIA(運動、輕觸和針刺)評分、SCIM-III總分和子量表(自我護理、呼吸和括約肌管理以及活動能力)評分以及WHOQOL-BREF總分和領域評分均有顯著改善。
- 此外,所有亞組(包括頸椎、胸腰椎、亞急性和慢性SCI)均發現上述所有結果均有顯著改善。
- 根據多元回歸分析,ASIA運動評分的改善與損傷程度顯著相關。同樣,SCIM-III總分和活動能力評分的改善與損傷后接受治療的時間顯著相關。越早治療,痊愈的幾率越大。
綜上所述,使用自體間充質干細胞和雪旺細胞的聯合細胞療法可顯著改善神經系統和功能結果以及患者的生活質量。未來的研究可以評估將這種方法與其他方式相結合的額外效果,或比較它們的療效。
2024年4月1日,梅奧醫學中心的研究人員在 《Nature》子刊上發表的論文證實,鞘內注射自體培養擴增的脂肪組織來源的間充質干細胞可用于治療創傷性脊髓損傷。[2]

本次研究展示了CELLTOP試驗對所有10名入組患者和隨訪96周的結果。該研究的主要結果是安全性,以不良事件的性質和頻率來衡量。次要結果包括感覺和運動評分、影像、腦脊液標志物和體感誘發電位的變化。
- 方案的制造和給藥對所有患者均成功。
- 最常見的報告不良事件是頭痛和肌肉骨骼疼痛,發生在8名患者中。未觀察到嚴重不良反應。
- 在最后的隨訪中,10名患者中有7名的AIS等級自注射時起有所改善。(圖2)
- 此外,7名患者至少在一個水平上表現出運動和感覺功能的改善,而2名患者至少在一個水平上的感覺有所改善。(圖2)
- 9名有測量結果的患者中有7名在注射脂肪間充質干細胞后血管內皮生長因子水平有所升高。

綜上所述,這項I期臨床試驗 (CELLTOP) 研究了10名創傷性脊髓損傷患者鞘內注射脂肪間充質干細胞的安全性。總體而言,整個研究期間未報告任何嚴重不良事件。在最后的隨訪中,十名患者中有七名的AIS等級與注射前相比有所改善。表明脂肪間充質干細胞的采集和管理對于創傷性脊髓損傷患者具有良好的耐受性。
2024年4月10日,約旦大學細胞治療中心和約旦大學醫學院聯合在行業期刊《細胞療法》上發表了一篇關于《骨髓和臍帶來源的擴增間充質基質細胞對慢性脊髓損傷患者的安全性和潛在療效》的I/II期臨床研究結果。[3]

本次研究共有20名脊髓損傷持續時間至少為1年的參與者入選。A組的每個參與者接受病灶周圍骨髓間充質干細胞(BMMSC)注射,隨后每月接受鞘內BMMSC注射,共注射三次;B組的每個參與者接受每月接受鞘內臍帶間充質干細胞(UCMSC)注射,共注射三次。
- 研究結果表明,所使用的兩種間充質干細胞都是安全的,且患者耐受性良好。但報告的A組不良事件數量略高于B組。
- 并且患者損傷的感覺和運動方面有顯著改善。此外,兩組中的幾名患者報告肛門控制和/或深肛門壓力感覺改善,這與患者的生活質量改善產生了極大的共鳴。(圖3)
- 得注意的是,B組中的兩名患者恢復了完全膀胱控制,不再需要導尿管。

研究結果表明,在病灶周圍注射擴增的自體骨髓間充質干細胞,然后每月鞘內注射骨髓間充質干細胞三次,或每月鞘內注射臍帶間充質干細胞三次,對于患有慢性脊髓損傷的患者來說似乎是安全的,并且很有治愈的希望。
2024年8月26日,伊朗德黑蘭AJA醫科大學醫學生物技術研究中心在行業期刊《干細胞研究與治療》上發表了一篇關于《鞘內注射同種異體人臍帶間充質干細胞來源的外泌體對完全性亞急性脊髓損傷的安全性和潛在影響》的Ⅰ期臨床試驗研究成果。[4]

本研究為一項單組、開放標簽、I期臨床試驗,隨訪期為12個月,共招募了9名完全性亞急性脊髓損傷患者。
- 在運動改善方面,根據ASIA運動評分,共有4名患者在研究期間表現出恢復。整個研究人群的平均ASIA運動評分在鞘內注射后6個月和12個月也有所增加,但統計上并不顯著。(圖4)
- 與基線相比,平均ASIA感覺輕觸覺評分在鞘內注射后6個月和12個月均有顯著改善。
- 與基線相比,6個月?隨訪和12個月隨訪時的平均ASIA感覺針刺評分顯著改善。
- 參與者中,如圖4所示,患者1、3、5、6和8的變化最為顯著 。

- 就功能結果而言,患者在研究期間有顯著改善。與基線相比,SCIM III總分在鞘內注射后6個月和12個月隨訪有顯著改善。在參與者中,有6人的SCIM III總分有顯著改善。(圖4)
- 與SCIM III總分類似,自我護理和呼吸和括約肌管理分量表在研究期間也有顯著改善。
- 注射后12個月神經源性腸功能障礙(NBD)也發生了顯著變化,尤其是患者2、3、6、7和8。其中,患者 3、7和8的NBD等級分別從重度改善到中度、輕度改善到極輕度、中度改善到極輕度。研究人群的平均NBD評分在鞘內注射后6個月和12個月顯著?下降。(圖4)
不良反應:觀察到的不良反應均與鞘內注射外泌體無關。
這項Ⅰ期臨床試驗表明,在亞急性脊髓損傷患者中鞘內注射同種異體人臍帶間充質干細胞外泌體是安全且可耐受的,沒有早期或晚期不良反應。此外,外泌體療法似乎可能與脊髓損傷不同方面的改善有關,例如能夠改善患者的感覺運動功能、功能狀態(自我護理以及呼吸和括約肌管理)和神經源性腸功能障礙。
2024年8月28日,華南理工大學附屬第二醫院發表了一篇關于《干細胞療法及神經調控技術在脊髓損傷中的研究進展》的研究成果。[5]

其中提到如何確保干細胞準確地到達損傷部位并發揮最大效能是當前面臨的一大挑戰。
為此,科研人員開發了一系列創新性的靶向遞送方法:
- 比如通過基因工程改造干細胞表面表達特定受體,使其能夠響應外界信號而定向移動;
- 或者利用納米粒子作為載體,實現對干細胞及其分泌物的精確控制。
這些新技術的應用有望顯著提升干細胞治療的效果,從而進一步為脊髓損傷的基礎研究和臨床轉化提供參考。
2024年9月12日,巴西貢薩洛·莫尼茲研究所牽頭在行業期刊《基因和細胞治療》上發表了一篇關于《自體間充質基質細胞移植治療完全性頸脊髓損傷》的一項初步臨床研究成果。[6]

本次研究納入了7名患有慢性創傷性頸椎脊髓損傷(>1年)的受試者,這些受試者被歸類為美國脊髓損傷協會損傷量表 (AIS) A級。受試者接受兩劑自體骨髓衍生間充質基質細胞,第一劑在半椎板切除術后直接注射到病變部位,第二劑在三個月后通過鞘內注射。
- 臨床結果表明,神經系統評估顯示治療后病變水平以下的敏感度逐漸改善。
- 移植后0個月和12個月,FIM評分顯示有3名患者增加,其他3名患者減少,而5名患者的SCIM評分略有增加。
- 通過使用軟刷和von Frey單絲 (98mN) 來識別淺層和深層刺激的皮膚機械敏感性。與治療前相比,5名受試者對淺層和深層刺激均表現出一定程度的雙側感覺改善。
- 5名受試者在膀胱充盈期間和干細胞移植后出現逼尿肌過度活動;其中兩名患者有所改善,術后6個月和12個月尿動力學檢查中無OB。
不良反應:該過程耐受性良好,并且未記錄與干細胞給藥相關的不良事件。沒有參與者出現發燒或感染。此外,在隨訪期間未觀察到異位組織形成的跡象。
研究表明,自體間充質基質細胞移植治療慢性頸椎脊髓損傷移植是安全的,且手術耐受性良好。并且神經學評估顯示,治療后病變水平以下的敏感性有明顯改善。與治療前相比,五名受試者對淺表和深層機械刺激的雙側感覺均有一定程度的改善。但本研究期間未觀察到膀胱功能的顯著改變。
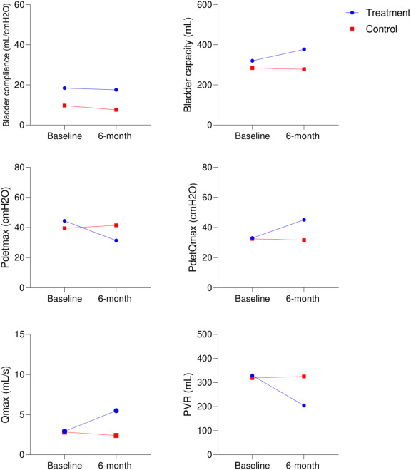
2024年11月25日,伊朗德黑蘭Shahid Beheshti醫科大學在國際知名期刊《世界神經外科》上發表了一項Ⅱ期臨床試驗,證明了間充質干細胞和雪旺細胞聯合治療脊髓損傷后患者的神經源性膀胱功能障礙得到改善![7]

P detQmax是指最大尿流率時膀胱逼尿肌壓力。Q max是最大尿流率。PVR指的是排尿后殘余尿量。P detmax指的是最大逼尿肌壓力。
本研究是一項隨機Ⅱ期臨床試驗,共納入32例完全性脊髓損傷患者。治療組接受單次鞘內聯合注射自體骨髓間充質干細胞和雪旺細胞。對照組未接受其他干預。治療組和對照組分別有13例和16例獲得完整隨訪。
- 注射后6個月,治療組的P detQmax、Q max與基線相比顯著增加,PVR和P detmax與基線相比顯著降低;(圖5)
- 膀胱順應性變化、PVR、P detmax、P detQmax、Q max在6個月后治療組和對照組之間有顯著差異;
- 治療6個月后膀胱容量增加;
- 治療組有23.1%患者膀胱感覺改善而對照組無,
- 治療組3名患無反射型神經源性膀胱患者中有2名(66.7%)6個月后出現逼尿肌活動過度,對照組3名患無反射型NGB患者中未觀察到這種變化。(圖5)
- 與對照組相比,治療組每天平均尿失禁發作次數也顯著減少。

治療6個月后,治療組和對照組的I – QOL總分變化差異顯著,且I-QOL問卷的3個領域(回避行為、社會心理影響、社交尷尬)注射后6個月治療組相比對照組均有明顯改善。(圖6)

不良反應:本研究觀察到的不良事件包括神經性疼痛、疲勞、感覺異常和痙攣。在報告的不良事件中,只有3名患者報告的感覺異常可能與干預有關。
綜上所述,自體骨髓間充質干細胞和雪旺細胞聯合鞘內注射治療顯著改善了完全性脊髓損傷誘發的神經源性膀胱的尿動力學研究參數、尿失禁率和尿失禁生活質量,并且沒有嚴重不良反應。
2024年12月17日,加州大學圣地亞哥分校醫學院研究人員在行業期刊《細胞醫學報告》上發表了一篇關于《神經干細胞移植治療慢性胸椎脊髓損傷的單中心 I 期臨床研究的長期臨床和安全性結果》的研究成果。

該試驗的主要結果是測試人類脊髓源性神經干細胞 (NSI-566) 移植治療四名胸椎2至胸椎12脊髓損傷受試者慢性脊髓損傷的可行性和安全性。
我們在此報告,所有四名受試者都很好地耐受了干細胞植入手術,并且兩名受試者在移植后五年有持久的肌電圖量化神經系統改善證據以及神經運動和感覺評分增加。
干細胞治療脊髓損傷的作用機制
- 替代、填充作用:研究發現干細胞可準確移動到脊髓損傷部位,分化為神經元細胞替代受損的神經組織,填充脊髓損傷的囊變區,最終改善損傷局部神經元的功能。
- 神經營養作用:干細胞可產生多種神經營養因子、細胞黏附分子、神經營養素受體和神經膠質抗原等,這些細胞因子表達上調可促進局部微血管和神經組織的再生與重建,發揮修復作用。
- 減輕炎癥反應:炎癥反應是脊髓損傷發生發展過程中的重要環節,抑制炎癥反應是治療脊髓損傷的一個重要機制。干細胞可使體內巨噬細胞由促炎型(M1)向抑炎型(M2)轉換,并降低白細胞介素-1β、腫瘤壞死因子-α的表達水平,通過保護軸突和髓鞘發揮神經保護作用。
- 促進軸突再生:干細胞可以分泌具有降解Ⅰ型膠原作用的基質金屬蛋白酶1和具有促進血管生長作用的基質金屬蛋白酶2,通過降低硫酸軟骨素的濃度來促進軸突生長和抑制瘢痕形成,從而重建神經通路。
結論
2024年的諸多研究進展表明,干細胞治療脊髓損傷一領域正朝著更加成熟的方向快速發展。從基礎科學研究到臨床轉化,每一項突破都為最終解決脊髓損傷這一難題提供了寶貴的線索。
未來,隨著更多高質量臨床數據的積累和技術手段的不斷完善,我們有理由相信干細胞治療將成為脊髓損傷患者重獲新生的重要途徑之一。同時,為了確保干細胞療法的安全性和有效性,還需加強國際合作,推動標準化流程建設,共同促進這一前沿技術的健康發展。
相關閱讀:想要了解更多關于干細胞治療脊髓損傷的新聞資訊請點擊這里!
參考資料:
[1]Akhlaghpasand, Mohammadhosein and Tavanaei, Roozbeh and Hosseinpoor, Maede and Golmohammadi, Maryam and Mohammadi, Ida and Ghaffari Jolfayi, Amir and Hosseinpour, Melika and Oraee-Yazdani, Kave and Zali, Alireza and Oraee-Yazdani, Saeed, Combined Mesenchymal Stem Cell and Schwann Cell Therapy in Spinal Cord Injury: A 9-Year Cohort Study. Available at SSRN: https://ssrn.com/abstract=4702376 or http://dx.doi.org/10.2139/ssrn.4702376
[2]Bydon, M., Qu, W., Moinuddin, F.M. et al. Intrathecal delivery of adipose-derived mesenchymal stem cells in traumatic spinal cord injury: Phase I trial. Nat Commun 15, 2201 (2024). https://doi.org/10.1038/s41467-024-46259-y
[3]Abdalla Awidi, Abdulrahman Al Shudifat, Nael El Adwan, Mahmoud Alqudah, Fatima Jamali, Fathy Nazer, Halla Sroji, Hady Ahmad, Nahla Al-Quzaa, Hanan Jafar,Safety and potential efficacy of expanded mesenchymal stromal cells of bone marrow and umbilical cord origins in patients with chronic spinal cord injuries: a phase I/II study,Cytotherapy,Volume 26, Issue 8,2024,Pages 825-831,ISSN 1465-3249,https://doi.org/10.1016/j.jcyt.2024.03.480.
[4]Akhlaghpasand, M., Tavanaei, R., Hosseinpoor, M. et al. Safety and potential effects of intrathecal injection of allogeneic human umbilical cord mesenchymal stem cell-derived exosomes in complete subacute spinal cord injury: a first-in-human, single-arm, open-label, phase I clinical trial. Stem Cell Res Ther 15, 264 (2024). https://doi.org/10.1186/s13287-024-03868-0
[5]干細胞療法及神經調控技術在脊髓損傷中的研究進展-論文-萬方醫學網
[6]Macêdo CT, de Freitas Souza BS, Villarreal CF, Silva DN, da Silva KN, de Souza CLM, da Silva Paix?o D, da Rocha Bezerra M, da Silva Moura Costa AO, Braz?o ES, Marins Filho JP, Matos AC, dos Santos RR and Soares MBP (2024) Transplantation of autologous mesenchymal stromal cells in complete cervical spinal cord injury: a pilot study. Front. Med. 11:1451297. doi: 10.3389/fmed.2024.1451297
[7]Mohammadhosein Akhlaghpasand, Roozbeh Tavanaei, Farzad Allameh, Maede Hosseinpoor, Hossein Toreyhi, Maryam Golmohammadi, Atieh Hajarizadeh, Alireza Alikhani, Maryam Hafizi, Maryam Oraee-Yazdani, Alireza Zali, Saeed Oraee-Yazdani,Improvement of Neurogenic Bladder Dysfunction Following Combined Cell Therapy with Mesenchymal Stem Cell and Schwann Cell in Spinal Cord Injury: A Randomized, Open-Label, Phase II Clinical Trial,World Neurosurgery,2024,ISSN 1878-8750,https://doi.org/10.1016/j.wneu.2024.10.131.
免責說明:本文僅用于傳播科普知識,分享行業觀點,不構成任何臨床診斷建議!杭吉干細胞所發布的信息不能替代醫生或藥劑師的專業建議。
版權說明:本文來自杭吉干細胞科技內容團隊,歡迎個人轉發至朋友圈,謝絕媒體或機構未經授權以任何形式轉載至其他平臺,轉載授權請在網站后臺下方留言獲取。
掃碼添加官方微信